Ginseng — Clinical Evidence, Tradition, and Modern Understanding
Ginseng — Clinical Evidence, Tradition, and Modern Understanding
Introduction: Ginseng Through Time
Few medicinal plants have inspired as much reverence as ginseng. The name Panax, derived from the Greek word for “all-healing,” reflects the broad reputation it carried both in Asia and later across the world. In Chinese medicine, ginseng (Rénshēn, 人参) was more than an herb; it was a symbol of vitality. Its root, often shaped like the human form, was believed to mirror the essence of life itself. To prescribe ginseng was to strengthen qi, the vital energy that animated body and mind. Daoist physicians described it as a tonic for resilience, clarity, and longevity — a root that harmonized the rhythms of life.
In the modern era, ginseng remains one of the most widely used herbal medicines. Its reputation as a restorative has now been put to the test in clinical trials across the world. What emerges from this evidence is not the promise of a universal cure, but a nuanced picture of a plant with measurable effects in specific conditions.
Species, Preparations, and Active Compounds
Two main species are used in medicine:
Asian or Korean Ginseng (Panax ginseng), cultivated for centuries in East Asia. When steamed and dried, it becomes Korean Red Ginseng, a preparation that alters its chemical profile and increases certain compounds.
American Ginseng (Panax quinquefolius), native to North America, with a different balance of active molecules and somewhat distinct physiological effects.
Both species contain bioactive molecules, but their ginsenoside profiles differ significantly, influencing how each affects the human body.
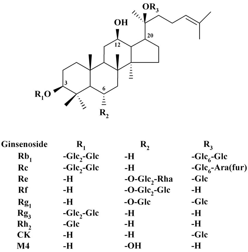
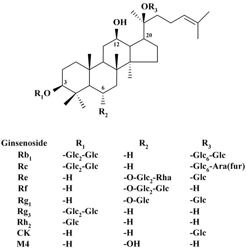
Ginsenosides: The Compounds Behind the Root
Modern research has identified a family of compounds called ginsenosides as the principal bioactive agents in ginseng. These triterpene saponins are unique to the Panax species, and they are believed to account for much of ginseng’s pharmacological diversity. More than thirty ginsenosides have been identified, each with slightly different biological actions. For instance, Rb1 has been associated with improvements in glucose metabolism and neuroprotection, Rg1 has been linked to cognitive and anti-fatigue effects, while Rg3, which forms during the steaming process that produces Red Ginseng, has demonstrated vascular and anticancer activity in experimental studies.
This diversity is part of what made ginseng so valued in traditional medicine — it appeared to touch many aspects of health. Yet it also introduces complexity for modern science, since ginsenoside content varies by species, growing region, and processing method. Steaming alters certain ginsenosides while producing others, which may help explain why Red Ginseng and White Ginseng do not always show identical effects in trials.
For this reason, clinical trials almost always rely on standardized extracts, adjusted to contain a specific percentage of total ginsenosides (commonly 4–7%). The landmark Mayo Clinic trial on cancer-related fatigue, for example, used capsules of American ginseng standardized to ginsenoside content, ensuring consistency across participants. Similarly, respiratory infection and glucose-regulation trials report ginsenoside standardization in their methods. This detail matters: without it, outcomes cannot be reproduced.
Unfortunately, many commercial ginseng supplements do not meet this standard. Analyses have found mislabeled products, substitutions with unrelated species, and preparations with little or no ginsenoside content. For consumers and clinicians, therefore, ginsenoside standardization is the key marker of quality. Only products that specify species, preparation, and declared ginsenoside percentage can be meaningfully compared with the evidence base.
Mechanisms Proposed in Human Studies
From a modern biomedical perspective, ginseng is best understood not as a stimulant, but as a modulator of multiple physiological systems. Studies show that it influences the hypothalamic–pituitary–adrenal axis, smoothing stress responses and cortisol fluctuations. It has measurable effects on immune signaling, enhancing natural killer cell activity and regulating cytokine balance, which may underpin its benefits in reducing respiratory infections. Certain ginsenosides improve insulin sensitivity and glucose uptake, consistent with modest improvements in glycemic control observed in trials. Neurocognitive pathways may also be involved: ginseng has been linked to cholinergic and dopaminergic modulation, antioxidant activity, and neuroprotection, potentially explaining selective improvements in memory performance. Finally, ginseng promotes endothelial nitric oxide synthesis, improving vascular function and contributing to observed effects in erectile dysfunction.
These diverse mechanisms align with the traditional description of ginseng as a harmonizer of qi, a root that strengthens and regulates the body’s vital processes rather than pushing them in one direction.
Cognition and Mental Performance
Modern trials provide a nuanced picture of ginseng’s effects on the mind. Large-scale analyses show that ginseng does not enhance overall cognition, attention, or executive function, but there is a consistent signal for improvements in certain aspects of memory. A recent meta-analysis confirmed modest but statistically significant gains in memory performance, while smaller studies with standardized extracts have observed improvements in individuals with subjective memory impairment. These findings suggest that ginseng may support specific domains of mental performance rather than acting as a broad cognitive enhancer.
Fatigue and Cancer-Related Fatigue
The most consistent and convincing evidence for ginseng lies in the treatment of fatigue, particularly cancer-related fatigue. This debilitating symptom affects a majority of patients undergoing chemotherapy or radiotherapy, with few effective treatments available.
In a landmark multicenter trial conducted at the Mayo Clinic, over 340 patients were randomized to receive either 2,000 mg per day of American ginseng (P. quinquefolius) or placebo for eight weeks. Those receiving ginseng reported significantly greater improvements in fatigue scores, especially among patients undergoing active treatment. Subsequent trials and meta-analyses have confirmed these findings, establishing American ginseng as one of the few natural products to demonstrate consistent benefits in this domain. Proposed mechanisms include modulation of inflammatory cytokines, support for mitochondrial energy production, and regulation of cortisol rhythms.
Outside oncology, results are more variable. Some trials report benefits for chronic fatigue or general tiredness, while others show no effect. The most robust and reproducible evidence remains in patients with cancer-related fatigue.
Immunity and Respiratory Infections
Traditional medicine long described ginseng as a protector against external pathogens. Modern trials have tested this claim with rigor, particularly using a proprietary American ginseng extract known as CVT-E002 (COLD-fX). In randomized trials involving hundreds of adults and older populations, this extract reduced the incidence and duration of upper respiratory infections during cold and flu seasons.
Systematic reviews confirm these findings, though the benefits are modest and strictly preparation-specific. It cannot be assumed that all ginseng products share this effect; only standardized extracts studied in clinical trials have demonstrated protective outcomes. Nevertheless, the convergence of traditional description and modern data is notable: ginseng supports resilience against seasonal illness, though not as a replacement for vaccination or medical care.
Metabolic Health and Glucose Regulation
The clearest effects of ginseng in metabolism emerge in glucose regulation. Trials demonstrate that American ginseng, taken before meals, can reduce postprandial blood sugar spikes, and systematic reviews confirm modest but measurable improvements in fasting glucose and HbA1c. Importantly, these benefits appear most consistently when standardized extracts are taken for at least eight weeks. While the changes are not dramatic compared with pharmaceuticals, they align with mechanistic studies showing ginseng’s ability to enhance insulin sensitivity and modulate glucose uptake, positioning it as a supportive adjunct in metabolic health.
Sexual Function and Erectile Dysfunction
Korean Red Ginseng has been studied for its role in erectile dysfunction, with clinical trials and meta-analyses suggesting modest improvements in erectile function compared with placebo. The therapeutic effect is present but limited in magnitude, and the overall certainty of the evidence remains low due to variability in trial design and quality. Proposed mechanisms include improved endothelial function and nitric oxide synthesis, which support vascular health. While not a replacement for conventional therapies, standardized Korean Red Ginseng may provide an additional option for some men seeking support in this area.
Other Emerging Areas
Smaller trials have explored ginseng in relation to menopausal symptoms, mood, and exercise performance. Some studies suggest reductions in hot flushes or improvements in perceived well-being, but evidence remains preliminary. Research into exercise performance is mixed, with some studies noting improved recovery or perceived exertion, but inconsistent findings overall. These areas remain promising but unproven, highlighting the need for larger, high-quality studies before drawing conclusions.
Safety and Contraindications
Across randomized trials and systematic reviews, ginseng has proven generally safe for short-term use, with adverse events comparable to placebo. The most common effects are mild gastrointestinal discomfort, insomnia, or hot flushes.
Important exceptions exist. A controlled trial demonstrated that American ginseng reduced the anticoagulant effect of warfarin, raising concerns for patients requiring stable anticoagulation. Case reports and pharmacologic studies confirm this potential interaction, making ginseng contraindicated or requiring close INR monitoring in such patients. Use is also not recommended during pregnancy or breastfeeding due to insufficient human safety data and some adverse signals in preclinical research. Caution is advised for individuals with uncontrolled hypertension, arrhythmia, or autoimmune conditions.
Dosages Used in Clinical Trials
Dosage varies by indication and preparation, but human trials provide clear examples:
Cancer-related fatigue: American ginseng (P. quinquefolius), 2,000 mg per day for eight weeks.
Respiratory infections: CVT-E002 standardized extract, 400 mg per day for three to four months during cold season.
Glucose regulation: American ginseng, 3 g before meals, or standardized extracts for at least eight weeks.
Erectile dysfunction: Korean Red Ginseng, 1.8–3 g per day for four to twelve weeks.
These reflect trial conditions and should not be generalized to unstandardized commercial products.
Quality and Adulteration
One of the greatest challenges with ginseng lies not in the plant itself but in the marketplace. Independent analyses have revealed that nearly one-quarter of commercial ginseng products are adulterated or mislabeled, with some containing little or no ginsenosides. This undermines both safety and clinical reliability. To ensure meaningful use of the evidence, consumers should select products that specify the species (Panax ginseng or Panax quinquefolius), preparation (red vs. white), and standardized ginsenoside content. Independent third-party certifications such as USP or NSF provide additional assurance of authenticity and potency. Without such safeguards, the connection between clinical trial evidence and consumer use is easily lost.
Integration of Tradition and Science
In Daoist philosophy, ginseng was seen as a substance that strengthened the root of life, harmonizing qi and protecting vitality. Modern science, through trials and meta-analyses, now confirms that ginseng does not simply stimulate but supports resilience — reducing fatigue, enhancing immunity, stabilizing metabolism, and modestly improving vascular function. The languages differ, yet the essence aligns. Tradition provided the conceptual framework; science has supplied the empirical lens.
Conclusion
Ginseng is not a panacea, but neither is it merely a relic of tradition. Modern clinical evidence supports its use in specific contexts: cancer-related fatigue, prevention of seasonal respiratory infections with standardized extracts, modest improvements in glucose control, and supportive benefits for erectile dysfunction. Evidence in other areas remains preliminary.
Overall, ginseng represents a bridge between ancient wisdom and modern science. It continues to embody vitality, not as myth, but as measured effect — a tonic that supports resilience where the body is most depleted.
Like what you read? Keep exploring…
If this post resonated with you, you’ll love my book:
An Uncarved Life: A Daoist Guide to Struggle, Harmony, and Potential
This book blends timeless Daoist wisdom with real-world insight into how we can navigate struggle, cultivate inner peace, and live in alignment with our deeper potential. Drawing from classical texts like the Dao De Jing and integrating modern psychology and neuroscience, An Uncarved Life offers a grounded, poetic, and deeply personal guide to living well in a chaotic world.
Whether you’re seeking clarity, calm, or a more meaningful path forward, this book is a companion for anyone who wants to walk the Way with sincerity and strength.
Available now in print, Kindle, and audiobook formats.
Click here to get your copy on Amazon
References
Cognition
Zeng, M., Yuan, Y., Zhang, X., & Chen, W. (2024). Effects of ginseng on cognitive function: A systematic review and meta-analysis of randomized controlled trials. Phytotherapy Research, 38(12), 6023–6034. https://doi.org/10.1002/ptr.8359 — PMID: 39474788
Baek, H.-I., Ha, K.-C., Park, Y.-K., Kim, T.-Y., & Park, S.-J. (2024). Effects of ginseng sprout extract on cognitive performance in adults with subjective memory impairment: A randomized, double-blind, placebo-controlled trial. Nutrients, 16(12), 1952. https://doi.org/10.3390/nu16121952 — PMID: 38931306
Cancer-Related Fatigue
Barton, D. L., Liu, H., Dakhil, S. R., Linquist, B., Rector, T. S., DeKoning, T. F., … Sloan, J. A. (2013). Wisconsin ginseng (Panax quinquefolius) to improve cancer-related fatigue: A randomized, double-blind trial (N07C2). Journal of the National Cancer Institute, 105(16), 1230–1238. https://doi.org/10.1093/jnci/djt181 — PMID: 23780567
Respiratory Infections / Immunity
Predy, G. N., Goel, V., Lovlin, R., Donner, A., Stitt, L., & Basu, T. K. (2005). Efficacy of a North American ginseng extract for preventing upper respiratory tract infections: A randomized controlled trial. CMAJ, 173(9), 1043–1048. https://doi.org/10.1503/cmaj.1041470 — PMID: 16247094
McElhaney, J. E., Gravenstein, S., Cole, S. K., Davidson, E., O’Neill, D., Petitjean, S., … Shan, J. J. (2004). A placebo-controlled trial of a proprietary extract of North American ginseng (CVT-E002) in the prevention of acute respiratory illness in institutionalized older adults. Journal of the American Geriatrics Society, 52(1), 13–19. https://doi.org/10.1111/j.1532-5415.2004.52004.x — PMID: 14687315
Glucose Metabolism / Diabetes
Vuksan, V., Sievenpiper, J. L., Koo, V. Y. Y., Francis, T., Beljan-Zdravkovic, U., Xu, Z., & Vidgen, E. (2000). American ginseng (Panax quinquefolius L.) reduces postprandial glycemia in nondiabetic subjects and subjects with type 2 diabetes mellitus. Archives of Internal Medicine, 160(7), 1009–1013. https://doi.org/10.1001/archinte.160.7.1009 — PMID: 10761959
Shishtar, E., Sievenpiper, J. L., Djedovic, V., Cozma, A. I., Ha, V., Jayalath, V. H., … de Souza, R. J. (2014). The effect of ginseng (the genus Panax) on glycemic control: A systematic review and meta-analysis of randomized controlled clinical trials. PLOS ONE, 9(9), e107391. https://doi.org/10.1371/journal.pone.0107391 — PMID: 25222300
Erectile Dysfunction
Jang, D.-J., Lee, M.-S., Shin, B.-C., Lee, Y.-C., & Ernst, E. (2008). Red ginseng for treating erectile dysfunction: A systematic review. British Journal of Clinical Pharmacology, 66(4), 444–450. https://doi.org/10.1111/j.1365-2125.2008.03236.x — PMID: 18681988
Lee, H.-W., Lee, M. S., Kim, T.-H., Alraek, T., Zaslawski, C., Kim, J. W., & Moon, D. G. (2021). Ginseng for erectile dysfunction: A Cochrane systematic review. World Journal of Men’s Health, 39(4), 659–671. https://doi.org/10.5534/wjmh.210071 — PMID: 34319854
Safety & Interactions
Kim, Y.-S., Woo, J.-Y., Han, C.-K., & Chang, I.-M. (2015). Safety analysis of Panax ginseng in randomized clinical trials: A systematic review. Medicines, 2(2), 106–126. https://doi.org/10.3390/medicines2020106 — PMID: 28930204
Coon, J. T., & Ernst, E. (2002). Panax ginseng: A systematic review of adverse effects and drug interactions. Drug Safety, 25(5), 323–344. https://doi.org/10.2165/00002018-200225050-00003 — PMID: 12093317
Yuan, C.-S., Wei, G., Dey, L., Karrison, T., Nahlik, L., Maleckar, S., … Moss, J. (2004). American ginseng reduces warfarin’s effect in healthy patients: A randomized, controlled trial. Annals of Internal Medicine, 141(1), 23–27. https://doi.org/10.7326/0003-4819-141-1-200407060-00011 — PMID: 15238368
Quality & Adulteration
Ichim, M. C., & de Boer, H. J. (2021). A review of authenticity and authentication of commercial ginseng herbal medicines and food supplements. Frontiers in Pharmacology, 11, 612071. https://doi.org/10.3389/fphar.2020.612071 — PMID: 33584363









